Esophageal cancer - fast facts
The Fred Hutch Cancer Center (Seattle, WA) concisely presents helpful information on causes, symptoms and treatment options for both types of esophageal cancer, as well as additional resources for patients.
This article provides a mechanistic framework relating obesity to increased risk of a number of gastrointestinal cancers, including esophageal adenocarcinoma. It also highlights the potential of weight loss interventions (e.g., lifestyle, pharmacologic, surgical) to reduce GI cancer risk. The authors describe a complex interplay of metabolic, inflammatory, microbial, and
This article addresses an interesting question: why are Barrett's esophagus patients not offered specialist counseling in much the same way as persons carrying genetic mutations (e.g., BRCA1/2) that confer increased cancer risk? Dr. Davies examines the contrasting approaches in UK NICE guidelines regarding psychosocial support for
Drinking very hot beverages has long been suspected of causing esophageal squamous cell carcinoma through thermal injury; the International Agency for Research on Cancer (IARC) has classified it as "probably carcinogenic to humans." Much of the supporting evidence comes from studies in South America, particularly southern Brazil and
An educational resource dedicated to the prevention and control of esophageal cancer. Each year over 600,000 people in the world are diagnosed with esophageal cancer. Unfortunately most do not survive more than a year, making it the sixth most common cause of cancer-related death. Much is known about the
The esophagus (blue in figure) is a muscular tube that carries food from the back of the mouth (pharynx – green) to the stomach (red) (figure 1). Cancers that occur in this organ are often difficult to treat, in part because “alarm symptoms” such as difficulty swallowing (dysphagia) or bleeding often
Esophageal Adenocarcinoma Epidemiologic and clinical research has revealed many risk factors which, taken together, can help estimate a person’s probability of developing esophageal adenocarcinoma (EAC). These include: * demographic factors, * host and lifestyle factors, * medications, * family history, and * genetic markers. In the general population, symptomatic gastroesophageal reflux (sGERD), obesity, cigarette
Receive the latest research in your inbox
The journal "Best Practice & Research Clinical Gastroenterology" has dedicated an entire issue toward research on the secondary prevention of esophageal and other upper GI cancers. These review articles include such topics as artificial intelligence, risk-based screening and cost effectiveness. Rather than summarizing these 12 informative articles, I
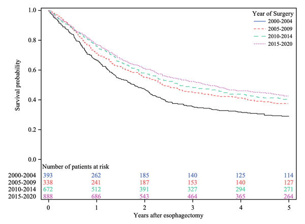
Although esophageal cancer remains one of the most deadly cancers, this Swedish population-based study from the Karolinska Institutet documents steady improvement in five-year survival rates over the past two decades. Among 2,291 patients undergoing esophageal cancer surgery, survival increased by about 3% per year despite patients being older and
This large prospective observational study evaluated the potential usefulness of the Capsule Sponge (CS) test – a non-invasive method of collecting cellular samples from the esophageal lining – in a "real-world" setting at multiple NHS hospitals in the UK. Among the 2,170 patients who had a CS test, there
Persons with esophagogastric adenocarcinoma who undergo neoadjuvant therapy and curative-intent surgery are unfortunately still at risk for recurrence even with pathological complete (or near-complete) treatment response. If those likely to experience recurrence could be identified early they might benefit from additional treatment such as immunotherapy. This preliminary study investigates the
From South Australia's Flinders University, Dr. Aoki and colleagues report on a cost-effectiveness analysis of various screening strategies for identifying Barrett's esophagus (BE) in the community, The study examined four primary screening tools: non-weighted clinical risk stratification, weighted risk stratification, the Cytosponge-TFF3 device, and traditional endoscopy
This impressive multicenter study by Miyoshi et al. introduces a new diagnostic tool named EMERALD, which is a six-circulating miRNA signature designed to effectively differentiate patients with esophageal adenocarcinoma (EAC) and its precursor, Barrett's esophagus (BE), from non-disease controls. The research involved analyzing 792 patient samples across four
Esophageal adenocarcinoma is quite rare among persons younger than 40 years, but the consequences of the disease, including years of life lost, can be devastating. Due to its rarity there has been little research on how risk factors in young persons (e.g., Barrett's esophagus (BE), obesity, GERD,
While most adults occasionally experience symptoms of gastroesophageal reflux, such as heartburn and regurgitation, approximately 20% (30 million people in the U.S.) experience these symptoms more frequently, ranging from once a week to multiple times a day. (1) Complications associated with GERD can include esophageal strictures, ulcers, and even
This article explores some of the ethical implications of using race and ethnicity for cancer screening, using esophageal adenocarcinoma and gastric cancer as examples. It highlights the disparities in cancer incidence and mortality among different racial and ethnic groups and examines the potential benefits and drawbacks of screening based (in
This interesting and thoughtful paper by Dr. Elspeth Davies at the University of Cambridge investigates the use of the capsule sponge test for screening Barrett's esophagus (BE) in a mobile clinic in England, highlighting the challenges in balancing patient-centered and risk-centered medical management. Through ethnographic fieldwork, the study
An evidence-based compendium of recommended treatments
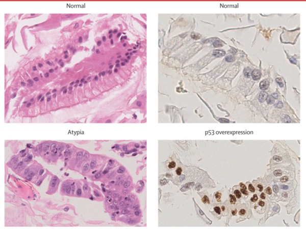
Accurate and timely identification of Barrett’s-related (BE) dysplasia is critical to providing the timely surveillance and treatment needed to prevent progression to esophageal adenocarcinoma. Unfortunately, significant observer variability in the assessment of BE-related dysplasia by pathologists continues to be a challenge. This report discusses the development and application of